Алгебра (практика) - уравнения и системы уравнений
2020-01-25 16:46
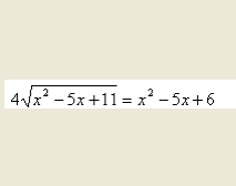
Иррациональные уравнения и системы уравнений
Уравнения и Системы уравнений
Смотрим видео
Дубинин Николай Никоаевич