Алгебра (практика) - преобразование выражений
2020-01-13 18:03
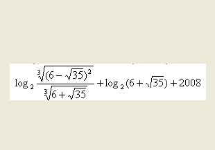
Выражения, содержащие логарифмы
Преобразование выражений
Смотрим видео
Дубинин Николай Николаевич