Алгебра (практика) - уравнения и системы уравнений
2020-01-25 17:09
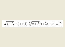
Параметрические уравнения и системы уравнений
Уравнения и Системы уравнений
Смотрим видео
Дубинин Николай Никоаевич